教务系统教务系统 学工系统学工系统 图书馆图书馆 信息公开信息公开
首页
学院概况
学院简介 现任领导 领导关怀 校园风光
党建思政
党建动态 入党指南 思政园地
组织机构
教学科研
教学动态 科学研究
师资队伍
教师风采 教学心得 招聘信息
招生信息
招生就业网 录取查询
校园文化
我的大学 院团委 学生会 学生社团 志愿服务
合作交流
校际交流 国际交流
继续教育学院
学院概况 学院动态 学历教育 职业鉴定
当前位置:首页校园新闻通知公告详细
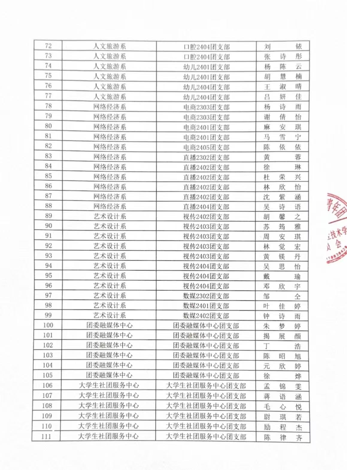
浙江宇翔职业技术学院2025年秋季拟发展团员公示
发布日期:2025年10月14日浏览次数:4462来源:校团委


2025-S-004498健康照护师考生名单公示
关于做好2025年度教师专业技术职务评聘工作的通知
学校网站
浙江大学 浙江师范大学 浙江工商大学 浙江工业大学 中国美术学院 浙江科技大学 浙江财经大学 湖州职业技术学院 湖州师范学院
部门网站
教育部官网 浙江省教育厅官网 浙江省教育考试院
友情链接
浙江省禁毒网 学信网
抖音
公众号
青春宇翔
招生办官方小程序

©  浙江宇翔职业技术学院     版权所有

浙ICP备09040954号-1 浙公网安备33052302000625号

技术支持:安信两山科技 / 0572-5220701